Mijn Communities
Help

Verzuim %

24-02-2023 16:28 (Bijgewerkt op 24-02-2023)
  • 0 Antwoorden
  • 2 kudos
  • 1952 Weergaven

In dit artikel geven we meer inzicht en toelichting over de berekening van het bekende Verzuimpercentage. Dit artikel helpt je om de volgende metingen in het model beter te begrijpen:

  • Verzuim %
  • Verzuim % 1e Jaar 
  • Verzuim % 2e Jaar  
  • Verzuim % 3e Jaar 

 

Het verzuimpercentage geeft een aanwijzing van de omvang van het ziekteverzuim in relatie tot de arbeidscapaciteit. De basisberekening voor het verzuimpercentage is:

 

ChrisvandenBerg_0-1677252248534.png

 

Het aantal verzuimdagen is het aantal dagen dat een medewerker ziek was of bijvoorbeeld het totale aantal verzuimdagen op een afdeling. Het aantal beschikbare dagen is het aantal kalenderdagen in de rapportageperiode of het totaal aantal kalenderdagen dat de medewerkers van een afdeling in dienst waren.

 

Hierbij kun je wel of geen rekening houden met een deeltijdpercentage en/of een percentage ziek. In Youforce Reporting houden we rekening met beide, deeltijdpercentage en percentage ziek. 

 

Als het deeltijdpercentage wordt meegewogen, komt het zowel in de teller als in de noemer van de breuk voor. De berekening voor deze rekenmethodiek (gewogen naar deeltijd en partieel verzuim) ziet er dan als volgt uit:

 

ChrisvandenBerg_1-1677252356266.png

 

 

Voor iedere medewerker worden hierbij de verzuimdagen vermenigvuldigd met de deeltijdfactor en het percentage dat hij ziek is. Het aantal beschikbare dagen wordt ook vermenigvuldigd met de deeltijdfactor. 

 

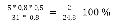
Voorbeeld: 

Een medewerkster werkt vier dagen per week (0,8 FTE). Gedurende de maand januari is zij vijf dagen voor 50% ziek. Haar verzuimpercentage over de maand januari is dan:

 

ChrisvandenBerg_2-1677252394233.png

 

Berekening per organisatorische eenheid
Voor de berekening van het verzuimpercentage van een afdeling of organisatie telt deze methode eerst de afzonderlijke dagen van alle medewerkers bij elkaar op en voert daarna pas de deling uit. Om een verzuimpercentage volgens deze rekenmethodiek  in zijn geheel met de hand uit te rekenen zijn de volgende stappen nodig:

  1. Bepaal voor elke medewerker de som van de verzuimdagen (binnen de verslagperiode en het dienstverband). Gedeeltelijk verzuim wordt meegerekend.
  2. Vermenigvuldig voor elke medewerker het aantal dagen uit stap 1 met de deeltijdfactor (=fulltime-equivalent). Voor fulltimers verandert er dus niets.
  3. Tel de uitkomsten uit stap 2 van alle medewerkers bij elkaar op.
  4. Bereken van elke medewerker het aantal kalenderdagen dat hij/zij in de verslagperiode in dienst was.
  5. Vermenigvuldig het aantal kalenderdagen uit stap 4 met de deeltijdfactor;
  6. Tel de uitkomsten uit stap 5 van alle medewerkers op
  7. Deel de uitkomst uit stap 3 door de uitkomst van stap 6
  8. Vermenigvuldig de uitkomst van stap 7 met 100%.
 
Verzuim jaren

De verzuimstandaard van het CBS maakt onderscheid tussen het eerste en het tweede jaar van het verzuim. Daarnaast hebben we vanuit meerdere klanten ook de behoefte gehoord om het 3e verzuimjaar in kaart te kunnen brengen. Ook deze is nu beschikbaar in het datamodel. Dit betekent dat de verschillende verzuimpercentages zijn gebaseerd op het volgende:

 

  • Verzuim %: totaal van verzuimdagen
  • Verzuim % 1e jaar:  tot maximaal de eerste 365 verzuimdagen
  • Verzuim % 2e Jaar: tussen de 365 en de 730 verzuimdagen
  • Verzuim % 3e Jaar: vanaf 730 verzuimdagen

Hieronder wordt het wat beter zichtbaar met een aantal voorbeelden van verschillende afgesloten verzuimgevallen:

 

Verzuimgeval

Totaal verzuimdagen

1e Jaar (dagen) 

2e Jaar (dagen)

3e Jaar (dagen)

1

6

6

0

0

2

40

40

0

0

3

180

180

0

0

4

400

365

35

0

5

800

365

365

70