för att få en personlig vy
för att få en personlig vy
Innan du aktiverar tjänsten mot BKY bör du gå igenom era kompetenstyper och se över hur de är skapade. Det är dessa som anger vilken sorts behörighet chauffören har.
Gå till Kompetens och välj Kompetenstyper. Nu visas ett register över alla de kompetenstyper ni har registrerade. Registret innehåller normalt både typer som avser förarbehörigheter och övriga som avser andra typer av kompetenser/utbildningar som ni vill dokumentera. De som är aktuella för att registrera förarbevis och de vi kan utföra behörighetskontroll på är dessa:
För dig som bedriver godsverksamhet:
För dig som bedriver bussverksamhet:
För dig som bedriver taxiverksamhet:
För att kontrollen skall utföras korrekt skall namnet på kompetenstypen vara precis som det står ovan. Namnet är också skiftlägeskänsligt vilket gör att stora och små bokstäver måste anges precis som ovan. Börja därför med att kolla igenom att ditt register med kompetenstyper stämmer med dessa. Om du har en kompetenstyp som heter 'CE' behöver du inte göra något, kontrollen kommer att utföras för de personer som du lagt in denna kompetens på. Om namnet på kompetenstypen är en variant på detta, t ex 'Körkort CE' så behöver du endast ändra namnet på denna till 'CE'. Du behöver alltså inte gå in och ändra på personkortet för varje person.
Observera att behörigheter som ska kontrolleras av BKY måste ha typen "Körkort" förutom YKBGods och YKBBuss, som måste ha typen "Annan", se bilden nedan.
Det är vanligt att en chaufför har flera behörigheter på ett körkort, t ex 'BE CE'. Denna kombination kan du skapa upp som en egen kompetenstyp med namnet 'BE CE'. Här krävs mellanslag. TransPA kommer då att kontrollera både BE och CE. Tänk på att om du har byggt upp era behörigheter sammansatta, typiskt som CE DE och en av dessa behörigheter ej längre är giltig finns en begränsning. Exempel, är CE ej längre giltig har vi ej möjlighet att fortsätta ställa frågor på DE behörigheten. Detta beror på att CE DE finns skapad som en kompetens med en och samma giltighetstid.
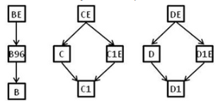
Körkort ska registreras på den högsta behörigheten inom varje kategori (B, C respektive D) som står på framsidan på körkortet. I bilden visas underordnade behörigheter med pilar.
Har en person behörighet som exempelvis CE så har han också de underordnade behörigheterna C1, C, C1E. På körkortet kan det stå olika beroende på när körkortet tillverkades men den högsta behörigheten som CE i detta fall skrivs alltid ut och det är den som skall registreras i transPA.
Har en person behörighet som ex. vis D och eller D1E så har han också den underordnade behörigheten D1. På körkortet kan det stå olika beroende på när körkortet tillverkades men den högsta behörigheten som D och eller D1E i detta fall skrivs alltid ut och det är den som skall registreras i TransPA.
Exempel: Skulle person A ha behörighet BE men finns endast registrerad i TransPA med behörighet B så sker följande, frågan till Transportstyrelsen är om personen har behörighet B? Svaret blir att detta ej är korrekt, då rätt svar är BE. Detta resulterar i svaret: Behörighetskontroll genomförd hos Transportstyrelsen – 1 person hade ogiltiga behörigheter.
Just giltighetstid på körkort är en vanlig frågeställning hos kunder vi har dialog med kring BKY-kontrollen. Det finns inget rätt eller fel, ni väljer helt och hållet själva vilken metod ni vill använda, men vägvalet är av avgörande betydelse, då det förändrar förutsättningarna och resultatet efter genomförd behörighetskontroll.
1. Sätt specifikt giltighetsdatum då körkortet går ut
2. Sätt giltig tillsvidare
Så här ser kontrollen ut i ett exempelfall där man valt specifikt giltighetsdatum för körkortsklass:
Namn Kalle Karlsson
Körkort CE
Giltighetstid t o m 2024-09-13
2024-09-13 ställs påståendet via BKY till Transportstyrelsen att den anställde har ett körkort med körkortsklass CE som är giltig. Resultatet blir då, "XX antal personer med tillhörande behörigheter har idag kontrollerats hos Transportstyrelsen. 0 av dessa personer har identifierats med ogiltiga behörigheter"
2024-09-14 kommer vi inte längre ställa påståendet att den anställde har ett körkort med körkortsklass, i och med att den giltighet ni satt i TransPA har gått ut. (Ni påstår alltså inte att den är giltig längre och därmed undantas frågan i kontrollen)
Som ni förstår så finns det alltså en fara, lite av en falsk trygghet med att ha en giltighetstid på körkorten, då er rutin för att löpande uppdatera giltighetstiderna måste säkerställas för att inte hamna i ett oönskat läge där TransPA slutar kontrollera era körkortsklasser.
Tänk på att Transportstyrelsen endast har information om svenska förarbevis/behörigheter. Om ni har anställda med utländska förarbevis får transPAs fråga till BKY svar att "behörighet är ogiltig". Vi saknar automatiskt funktion att utesluta dessa från den dagliga kontrollen, men ett tips är att skapa separat behörighet i transPAs kompetensregister och registrera era utländska förare mot denna. Välj då en benämning som inte pekar mot de behörigheter vi skriver om här ovan. Alternativt väljer ni inte typ "körkort" utan istället "annan" för att undvika att vi ställer fråga för denna förarbehörighet.
Kontrollerna kan endast utföras på det trafikslag som du har fått medgivande för. Om du bedriver godsverksamhet kan du alltså fråga efter YKBGods men inte efter YKBBuss.
Vi byter nu inloggningsmetod för anställda som tidrapporterar via Mytranspa.com till Visma Connect, vilket innebär inloggning med e-postadress och lösenord.
Transpa, en del av Visma, använder nu en central inloggning för alla sina produkter, baserad på e-postadress och lösenord. Den nya metoden, Visma Connect, är utformad för att minimera säkerhetsrisker och har flera fördelar. Systemanvändare i Transpa började använda denna metod redan 2018, och nu följer även chaufförer och andra anställda som tidrapporterar via Mytranspa.com.
Visma Connect erbjuder smidig inloggning genom funktioner som FaceID, fingeravtryck och Bank-ID. Anställda har möjlighet att själva återställa eller ändra sina lösenord vid behov. För att ytterligare höja säkerheten finns stöd för tvåfaktorsautentisering, exempelvis via en autentiseringsapp eller SMS-kod.
Vid övergången till detta säkra system har vi även lanserat en ny personallista i Transpa för att underlätta implementeringen.
För en översikt över processen och viktiga händelser, se nedanstående sammanställning samt den bifogade manualen för aktivering och inloggning, som med fördel delas med all personal.
När ert företag/databas aktiveras för övergången till Visma Connect, visas information på startsidan i Transpa. Där får ni en kort översikt över viktiga händelser, som när ni får tillgång till den "Nya" personallistan och när anställda kan bjuda in sig själva genom ett formulär. Övergångsprocessen sträcker sig över 30 dagar. För detaljerade steg, se här:
Steg 1: Blå informationsruta (Dag 1)
Steg 2: Ny personallista (Dag 10)
Steg 3: Anställda aktiverar sina konton via formulär vid inloggning (Dag 20)
Steg 4: Obligatoriskt e-postaktivering för anställda (Dag 30)
Frågor och Svar (öppnas i ny flik)
Den blå informationsrutan visas nu till höger på startsidan, där ni tydligt ser vilka steg och de aktuella datum för er övergång.
Ni får nu tillgång till en uppdaterad personallista som ger en tydlig överblick över era anställda. Ett nytt verktyg för att bjuda in till Connect via e-post är tillgängligt och behövs för att anställda ska kunna aktivera och använda sina konton.
Personallistan visar också status för inbjudningar och aktiveringar under kolumnen "Connect Status", där ni enkelt kan följa vem som har blivit inbjuden eller mottagit välkomstmejl men ännu inte aktiverat sitt konto.
Följ status i aktiveringsprocessen
Ni får också en bra överblick över er personal där ni ser status på vem som har blivit inbjuden, eller vem som har fått välkomstmejl men ännu inte aktiverat sitt konto. Aktuell status ser ni på höger sida i personallistan under kolumnen "Connect Status", och det fungerar på samma sätt som när man bjuder in en systemanvändare i systemet.
Statussymboler
Systemanvändare bjuder in anställda för aktivering
Du kan dessutom själv bjuda in dina anställda om ni hellre föredrar det alternativet. Notera dock att det mest effektiva är att låta de anställda göra det själva via formulär vid inloggning från start dag 20. (avser steg 3)
Vid nyanställning gäller dock denna hantering.
Öppna den anställdes personkort och klicka på "Aktivera login", fyll i deras e-postadress (om den inte redan finns angiven sedan tidigare.) Klicka sedan på "Spara och bjud in", Välkomstmejl skickas till den anställde som har 24h att aktivera sitt konto.
Be den anställde öppna mejlet med ämne “Välkommen till TransPA”. Klicka på Aktivera konto och skapa ett lösenord tillhörande sitt konto. Därefter loggar den anställde in via mytranspa.com och väljer "Logga in med e-post" eller direkt via connect.mytranspa.com
Aktivering av anställd som redan innan är connect-ansluten
Vid nyanställning, om den anställde tidigare har använt en Visma-produkt (till exempel genom ett annat företag som använder Transpa, eller annan visma-produkt för tidrapportering eller lönehantering), kommer de automatiskt att visas med en grön bock vid "Connect-status", när deras konto aktiveras i personkortet, eftersom de redan är anslutna till Visma Connect. Anställda ska då använda samma inloggningsuppgifter som tidigare, för alla Visma-produkter, vilket möjliggör en centraliserad inloggning. För ytterligare information, se avsnittet om samlad inloggning längst ner i denna artikel.
Läs gärna mer om den nya personallistan och dess funktioner här.
Anställda som ännu inte bjudits in till den nya inloggningsmetoden kan nu aktivera sig själva genom att logga in och fylla i sin e-post i ett formulär. Därefter skickas en inbjudan till deras e-post (kontrollera skräppost om mejlet saknas).
Den anställde har möjlighet att skjuta upp denna aktivering i 10 dagar, genom att klicka på Avbryt och fortsätta till gamla inloggningen. Därefter, från dag 11, måste e-postaktiveringen genomföras.
Efter att en anställd har fyllt i sin e-post och skickat inbjudan till sig själv, har de 24 timmar på sig att aktivera länken i e-postmeddelandet. Därefter anger de sitt lösenord och kan logga in med den nya metoden via connect.mytranspa.com.
Välkomstmejl
Ämne: Välkommen till TransPA
Avsändaren : [email protected]
Har anställd inte tidigare aktiverat sitt nya inlogg krävs detta nu. Vid nästa inloggning anges e-postadress via formuläret, klicka på "Godkänn" och välkomstmejl skickas till anställdes e-post. Välkomstmejl bör godkännas inom 24 timmar innan länken blir ogiltig och nytt mejl behöver skickas
Välkomstmejl
Ämne: Välkommen till TransPA
Avsändaren : [email protected]
Om den anställde inte aktiverat sitt konto inom 24 timmar blir länken i välkomstmejlet ogiltig. De kan dock begära en ny länk, som ger ytterligare 24 timmar för aktivering.
Om den anställde aktiverat sitt nya konto inom 24 timmar, kan man som systemanvändare skicka om inbjudan via personkortet genom att klicka på "Skicka om välkomstmejl" under fliken "Allmänt" och Inställningar för inloggning (Visma Connect)
Vid nyanställning, om den anställde tidigare har använt en Visma-produkt (till exempel genom ett annat företag som använder Transpa, eller annan visma-produkt för tidrapportering eller lönehantering), kommer de automatiskt att visas med en grön bock vid "Connect-status", när deras konto aktiveras i personkortet, eftersom de redan är anslutna till Visma Connect. Anställda ska då använda samma inloggningsuppgifter som tidigare, för alla Visma-produkter, vilket möjliggör en centraliserad inloggning. Skulle den anställde av någon anledning inte komma ihåg sitt lösenord klickar hen på "glömt lösenord" vid inloggning. Ett återställningsmejl kommer då att skickas till anställds mejl. Där lösenordet kan återställas. Notera att lösenordet då ändras för samtliga visma-produkter som man är ansluten till.
Inloggningsmetod med e-post som identifierare är väldigt vanlig idag. Många fördelar finns som förenklar inloggningen och ökar säkerheten för den enskilde användaren. För er som tidrapporterar med en eller flera gemensamma enheter för personalen vill vi tipsa om tillvägagångssätt vid inloggning på en enhet som inte tillhör dig. Allt för att upprätthålla och säkerställa en smidig och säker upplevelse.
Saknar ni något? Här finner ni frågor och svar om inloggning med Visma Connect
Klicka på de tre prickarna till höger i inlägget/artikeln och välj Prenumerera.
Läs mer om prenumeration härCopyright © 2019 Visma.com. All rights reserved.